Ребят, срочно решите пожалуйста
Приложения:

Yarbest:
хахаха тут 0 будет
Ответы
Ответ дал:
1
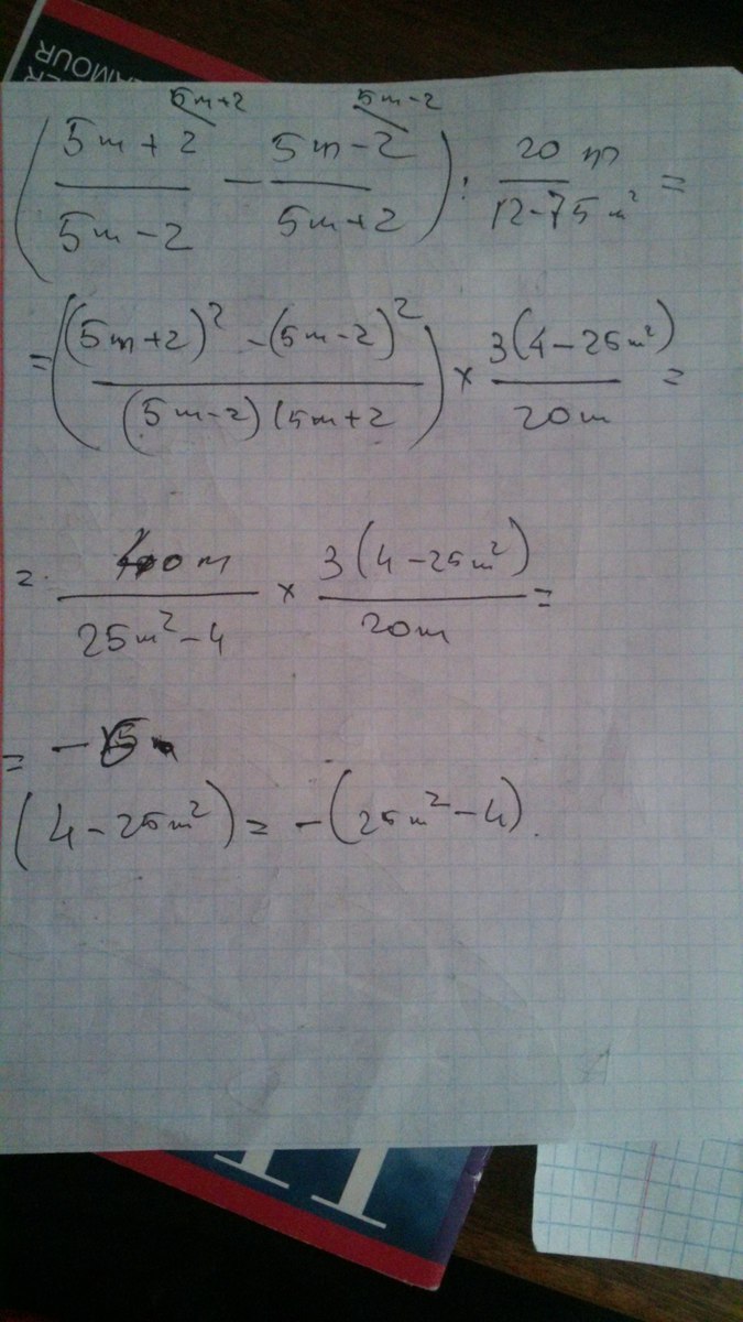
у меня получилось вот так вот
думаю всё понятно
сорян за почерк :D
думаю всё понятно
сорян за почерк :D
Приложения:

Вас заинтересует
2 года назад
2 года назад
2 года назад
2 года назад