• Предмет: Алгебра
  • Автор: Kris164
  • Вопрос задан 11 лет назад

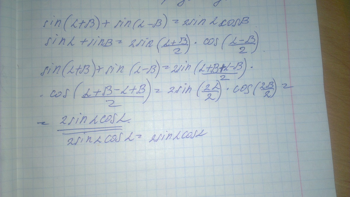
Докажите тождество:

sin (a + b) + sin (a - b) = 2 sin a cos b

Ответы

Ответ дал: IZUBR
0

Все тут просто, применяешь формулу суммы синусов, учитывая, что (a+b) это a, а (a-b) это b.

Все на скриншоте:

 

Приложения:
Вас заинтересует