Ответы
Ответ дал:
1
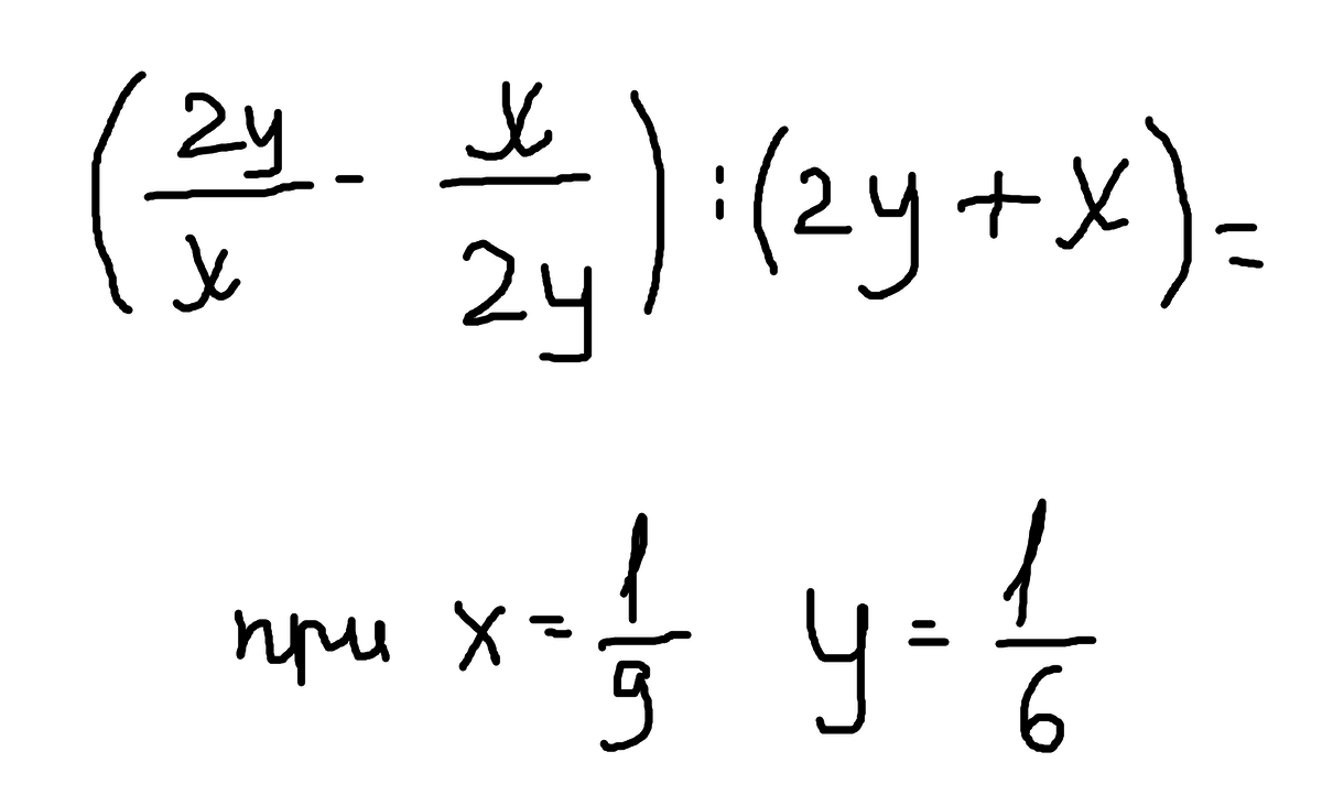
1) (2y)^2 -(x)^2/2xy=(2y+x)(2y-x)/2xy
2)(2y+x)(2y-x)/(2y+x)*2xy сокращается
3)2(y-x)/2xy=y-x/xy
2)(2y+x)(2y-x)/(2y+x)*2xy сокращается
3)2(y-x)/2xy=y-x/xy
Вас заинтересует
2 года назад
2 года назад
2 года назад
2 года назад
7 лет назад
7 лет назад
9 лет назад
9 лет назад