• Предмет: Алгебра
  • Автор: Val9702
  • Вопрос задан 3 года назад

Помогите срочно!
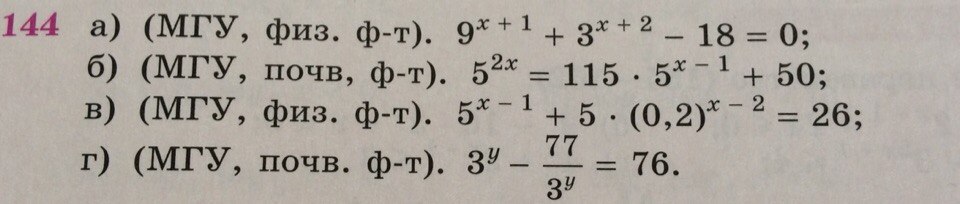
№144 "В" и "Г"
Дам 50 баллов

Приложения:

Ответы

Ответ дал: NNNLLL54
2
b)\; \; 5^{x-1}+5\cdot (0,2)^{x-2}=26\\\\\frac{5^{x}}{5}+5\cdot (\frac{1}{5})^{x-2}=26\\\\\frac{5^{x}}{5}+\frac{5}{5^{x}\cdot 5^{-2}}-26=0\\\\\frac{5^{x}}{5}+\frac{5\cdot 25}{5^{x}}-26=0\\\\t=5^{x}\ \textgreater \ 0,\; \; \frac{t}{5}+\frac{125}{t}-26=0\, |\cdot 5t\\\\t^2-130t+625=0\\\\D/4=4225-625=3600\\\\t_1=\frac{65-60}{1}=5,\; t_2=125

5^{x}=5\; \; \to \; \; x=1\\\\5^{x}=125\; \; \to \; \; x=3

г)

3^{y}-\frac{77}{3^{y}}=76\\\\t=3^{y}\ \textgreater \ 0,\; \; \; t-\frac{77}{t}-76=0\, |\cdot t\ \textgreater \ 0\\\\t^2-76t-77=0\\\\t_1=-1,\; t_2=77\\\\3^{y}=-1\ \textless \ 0\; \; \to \; \; net\; reshenij\\\\3^{y}=77\; \; \to \; \; y=log_377
Вас заинтересует