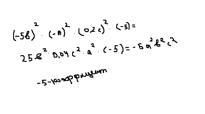
упростите выражение
(-5b) * (-5b) * (-a) * (-a) * (0,2c) * (0,2c) * ( -5)
чему равен числовой коэфицент этого выражения
ответ с подробным решением плиз
Ответы
Ответ дал:
1
.......................................
Приложения:

Вас заинтересует
2 года назад
2 года назад
7 лет назад
7 лет назад
8 лет назад