• Предмет: Математика
  • Автор: int000
  • Вопрос задан 3 года назад

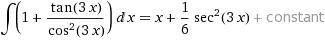
решить интеграл 1+tg3x/cos^2*3x

Ответы

Ответ дал: Юленька194
0
............................
Приложения:
Вас заинтересует