Ответы
Ответ дал:
0
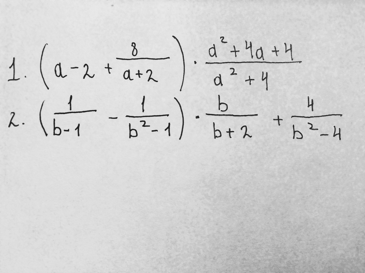
приведем в скобках е одному знаменателю и получим
а2-4+8/а+2 х а2+4а+4/а2+4= а2+4/а+2 х (а-2)2/а2+4=а2+4/а2+4=1
приведе к одному знаменателю
в+1-1/в2-1 х в(в-2)+4/в2-4=в/в2-1 х (в-2)2/в2-4 = в(в-2)/(в2-1)(в+2)
а2-4+8/а+2 х а2+4а+4/а2+4= а2+4/а+2 х (а-2)2/а2+4=а2+4/а2+4=1
приведе к одному знаменателю
в+1-1/в2-1 х в(в-2)+4/в2-4=в/в2-1 х (в-2)2/в2-4 = в(в-2)/(в2-1)(в+2)
Вас заинтересует
2 года назад
2 года назад
2 года назад
7 лет назад
7 лет назад
9 лет назад
9 лет назад