• Предмет: Алгебра
  • Автор: Dianna83
  • Вопрос задан 3 года назад

Найти производную у=2x/(x^2-3)

Ответы

Ответ дал: DJToxa
2
Производная:
y'=2/2x
///////////////
Ответ дал: SkyBy
2
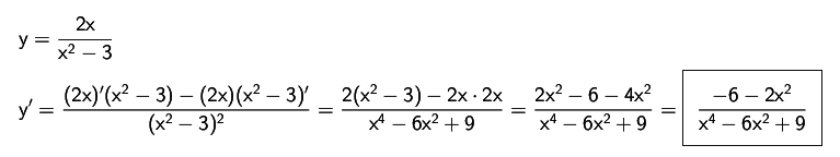
Смотрите решение в прикреплённом файле.
Приложения:
Вас заинтересует