Разложите на множители a) 16a-ab2 (b) a3-9a+2a2-18
edlin:
ab2 это ab в квадрате, а a3 это а в кубе?
Ответы
Ответ дал:
0
вот ........................................
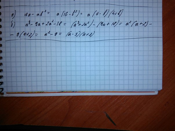
Приложения:
Ответ дал:
0
а) 16а-ав²=а(16-в²)=а(4-в)(4+в)
б) а³-9а+2а²-18=сгруппируем)=(а³-9а)+(2а²-18)=а(а²-9)+2(а²-9)=(а²-9)(а+2)=
=(а-3)(а+3)(а+2)
б) а³-9а+2а²-18=сгруппируем)=(а³-9а)+(2а²-18)=а(а²-9)+2(а²-9)=(а²-9)(а+2)=
=(а-3)(а+3)(а+2)
Вас заинтересует
2 года назад
2 года назад
2 года назад
7 лет назад
7 лет назад
9 лет назад