• Предмет: Алгебра
  • Автор: serenay777
  • Вопрос задан 2 года назад

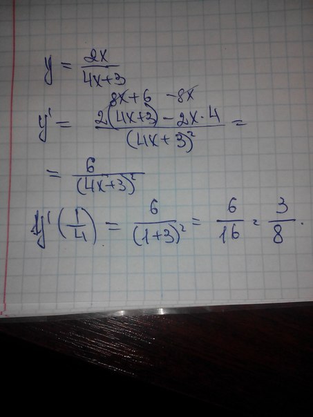
найдите пожалуйста значение производной функции y=2x\4x+3 в точке x0=1\4

Ответы

Ответ дал: Аноним
1
фотография………..…………………
Приложения:

serenay777: фотография не открывается
Аноним: Сейчас перезалью
Аноним: Проверяйте
serenay777: спасибо
Вас заинтересует