• Предмет: Алгебра
  • Автор: 79068760054
  • Вопрос задан 2 года назад

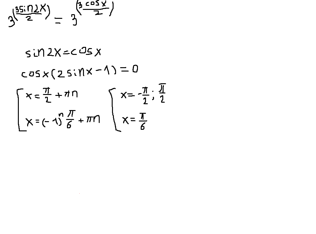
Решить:
  (27^{cosx})^{sinx} = 3^{ \frac{3cosx}{2}}  
Промежуток от минус пи до пи пополам включительно.

У меня получились корни:
x=pi/2
x=-pi/2
x=pi/6
Проверьте пожалуйста.

Ответы

Ответ дал: kostet1998
1
------------------------------------------------------
Приложения:

79068760054: Спасибо, такой же ответ:))
Вас заинтересует