Ответы
Ответ дал:
98
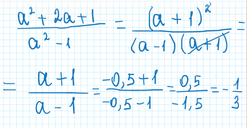
Сократите дробь а^2 + 2а + 1/а^2 - 1 и найти его значения при а = -0.5
Приложения:

Вас заинтересует
2 года назад
2 года назад
2 года назад
2 года назад
7 лет назад
7 лет назад
9 лет назад