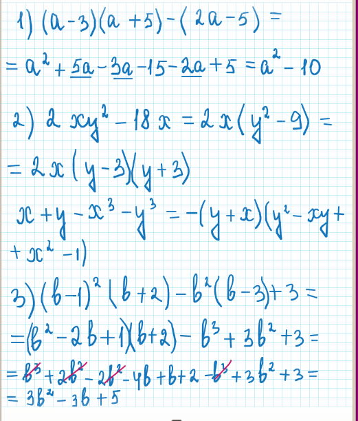
1) Упростить.
(a - 3)(a + 5) - (2a - 5)
2)Разложить на множители.
2xy^2 - 18x
x + y - x^3 - y^3
3)Представить в виде многочлена.
(b - 1)^2 (b + 2) - b^2 (b - 3) +3
Ответы
Ответ дал:
0
Упростить
Разложить
Представить в виде
Разложить
Представить в виде
Приложения:
Ответ дал:
0
1) (a - 3)(a + 5) - (2a - 5)=a^2+5a-3a-15 - 2a + 5=a^2-10
2)
2xy^2 - 18x=2x(y^2-9)=2x(y+9)(y-9)
x + y - x^3 - y^3=x+y-(x^3+y^3)=(x+y)(1-(x^2+y^2))=(x+y)(1-x^2-y^2)
3)
(b - 1)^2 (b + 2) - b^2 (b - 3) +3=(b^2-2b+1)(b+2)-b^3+3b^2+3=b^3-2b^2+b+2b^2-4b+2-b^3+3b^2+3=3b^2-3b+5
2)
2xy^2 - 18x=2x(y^2-9)=2x(y+9)(y-9)
x + y - x^3 - y^3=x+y-(x^3+y^3)=(x+y)(1-(x^2+y^2))=(x+y)(1-x^2-y^2)
3)
(b - 1)^2 (b + 2) - b^2 (b - 3) +3=(b^2-2b+1)(b+2)-b^3+3b^2+3=b^3-2b^2+b+2b^2-4b+2-b^3+3b^2+3=3b^2-3b+5
Вас заинтересует
2 года назад
2 года назад
2 года назад
2 года назад
7 лет назад
7 лет назад
9 лет назад