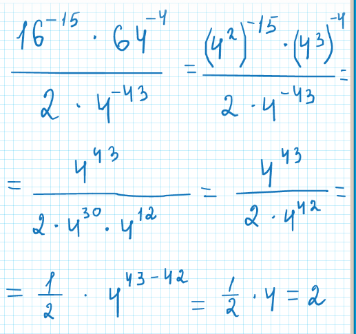
Вычислить: 16^-15 * 64^-4/2*4^-43
zanjabill:
Везде умножение?
Ответы
Ответ дал:
25
Тогда вот что получается
Приложения:

Вас заинтересует
2 года назад
2 года назад
2 года назад
2 года назад
7 лет назад
9 лет назад