• Предмет: Алгебра
  • Автор: tanin35r
  • Вопрос задан 2 года назад

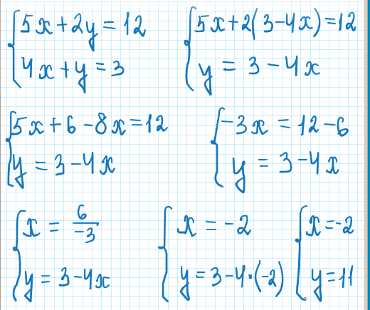
ПОМОГИТЕ РЕШИТЬ ФУНКЦИЮ!!
5x+2y=12
4x+y=3 Буду очень благодарна!!!!

Ответы

Ответ дал: zanjabill
1
Решение 5x+2y=12
4x+y=3

Приложения:
Вас заинтересует