• Предмет: Алгебра
  • Автор: bsdirol
  • Вопрос задан 2 года назад

При каких значениях переменной равны значения выражения:
а)5x(x-1) и x-1
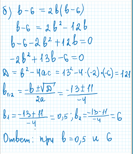
б)b-6 и 2b(b-6)?

Ответы

Ответ дал: zanjabill
0
При каких значениях переменной равны значения выражения:
Приложения:
Вас заинтересует