Ответы
Ответ дал:
0
С логарифмом !
2х-4=х+7
х=3
принебригаем логарифмом потому что одинаковый показатель
С промежутком!
5-2х = (x-1)*(x-1)
5-2x=x*x-2x+1
x=2; х=-2
Ответ: (-3;2]
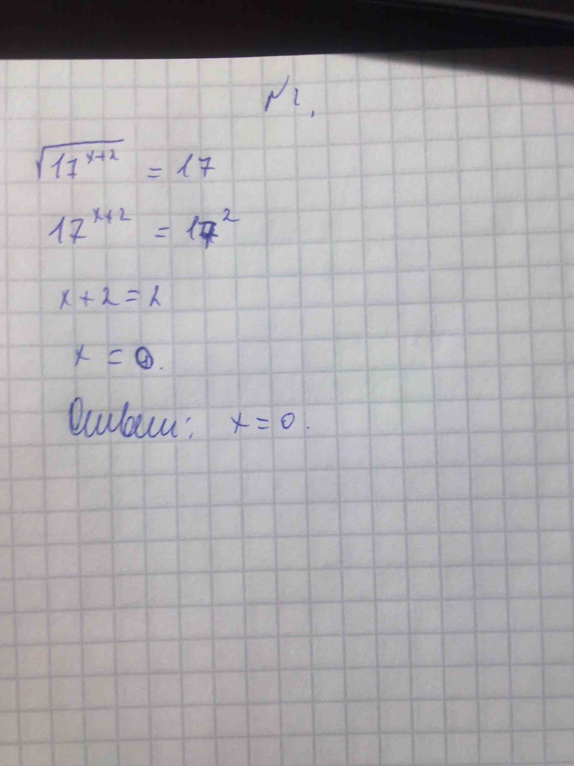
Степенное!
17^(x+2) = 17^2
x+2=2
x+0
Ответ дал:
0
Решение в приложениях.
Артем Бердниченко.
Приложения:


Вас заинтересует
2 года назад
2 года назад
8 лет назад
8 лет назад
10 лет назад
10 лет назад
10 лет назад