• Предмет: Алгебра
  • Автор: snezhana221
  • Вопрос задан 3 года назад

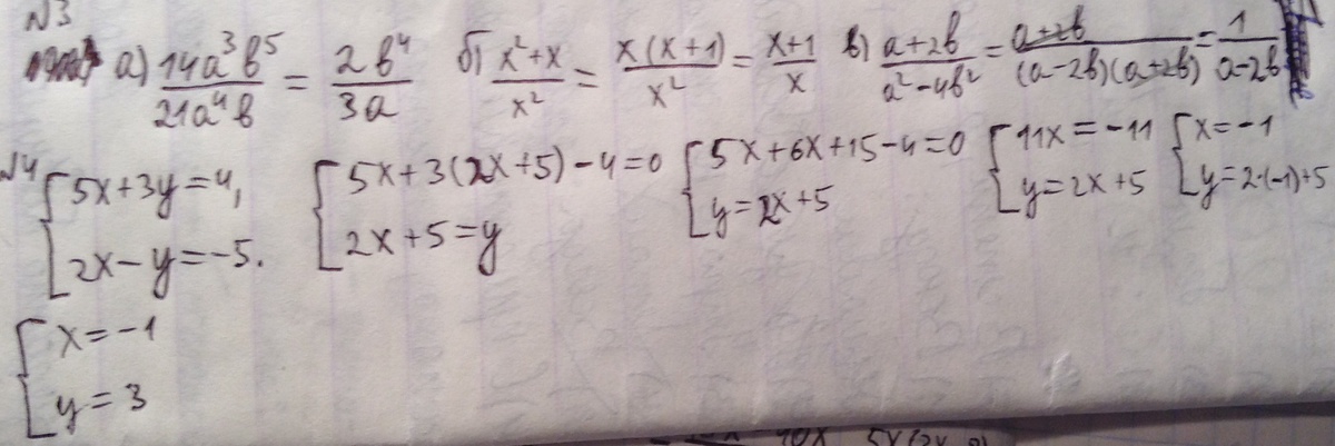
Решите пожалуйста 3 и 4
подробно распишите 4 пожалуйста:3

Приложения:

Ответы

Ответ дал: Qwerty563
1
Решение на фото жду спасибо и оценки 5 конечно )
Приложения:

snezhana221: Спасибо огромное:33
Вас заинтересует