• Предмет: Алгебра
  • Автор: ника161616
  • Вопрос задан 2 года назад

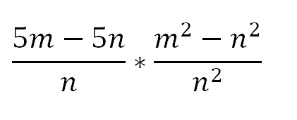
Пожалуйста решите уравнение

Приложения:

ShirokovP: там знак деления??
ShirokovP: или умножения..
Аноним: Умножение кажется

Ответы

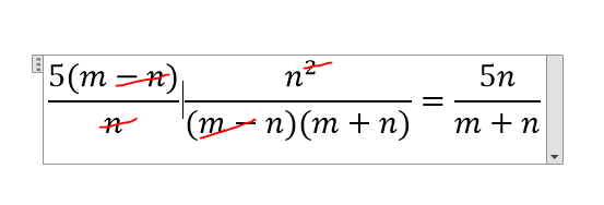
Ответ дал: ShirokovP
0
Решение внутри
-----------------------------------------
Приложения:

ника161616: Спасибо большое)
Вас заинтересует