Пожалуйста помогите, упростите выражение
Приложения:

tamarabernukho:
там точно умножить , а не разделить?
Ответы
Ответ дал:
0
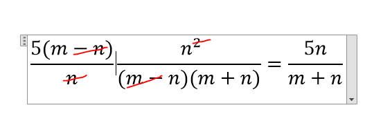
Если там знак умножить * - можно и лоб расколоть,
а так хоть что-то сократиться!
Решение внутри
//// ///
Пожалуйста, проверяйте условие задачи перед тем как выкладывать
а так хоть что-то сократиться!
Решение внутри
//// ///
Пожалуйста, проверяйте условие задачи перед тем как выкладывать
Приложения:

Вас заинтересует
2 года назад
2 года назад
2 года назад
2 года назад
7 лет назад
8 лет назад
8 лет назад