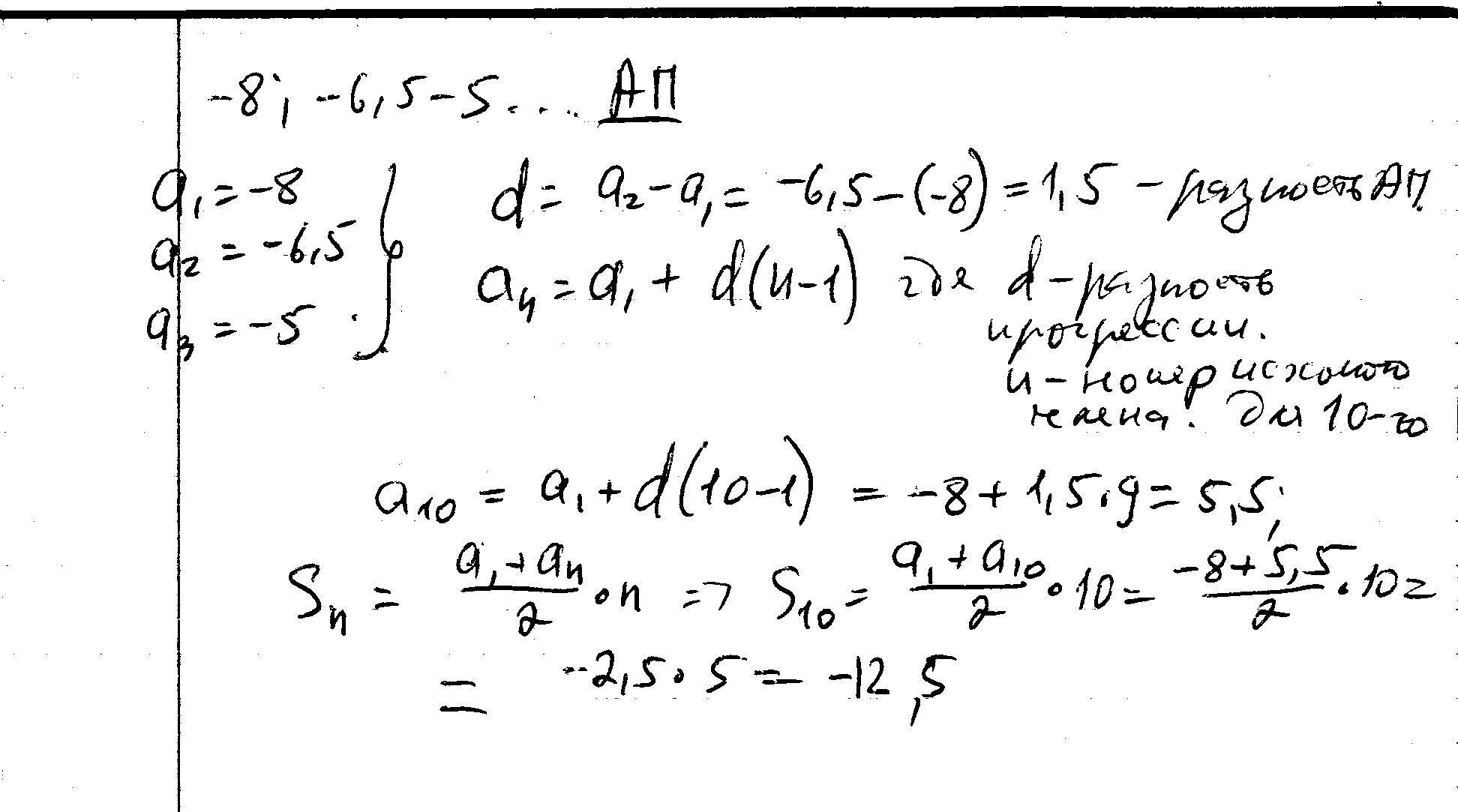
Найти десятый член арифметической прогрессии: -8; -6,5; -5;...
Вычеслите сумму первых десяти ее членов.
Ответы
Ответ дал:
0
решение в скане...........
Приложения:

Вас заинтересует
2 года назад
8 лет назад
8 лет назад
10 лет назад
10 лет назад
10 лет назад
10 лет назад