Ответы
Ответ дал:
1
Да, но угольную кислоту лучше писать как H2O и CO2
Аноним:
а когда уравнения химических реакций в цепочке не могут протекать?
Ответ дал:
1
1.
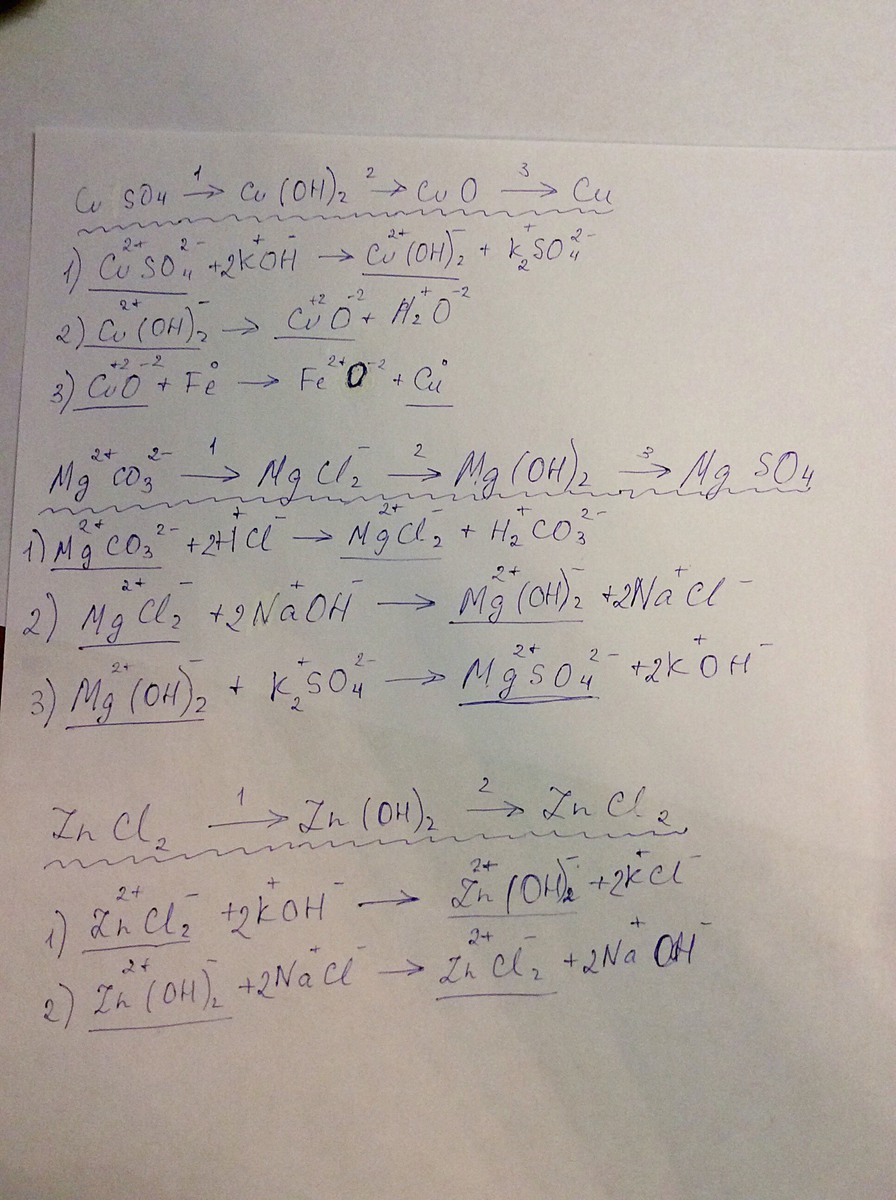
СuO + H2 =C u + H2O
2/
1)MgCO3 + 2HCl = MgCl2 + CO2 + H2O
3) Mg(OH)2 + H2SO4 = MgSO4 + 2H2O
3
Zn(OH)2 + 2HCl = ZnCl2 + 2H2O
СuO + H2 =C u + H2O
2/
1)MgCO3 + 2HCl = MgCl2 + CO2 + H2O
3) Mg(OH)2 + H2SO4 = MgSO4 + 2H2O
3
Zn(OH)2 + 2HCl = ZnCl2 + 2H2O
а когда уравнения химических реакций в цепочке не могут протекать?
когда цепочка составлена неправильно
идеально
Вас заинтересует
2 года назад
2 года назад
2 года назад
9 лет назад