• Предмет: Алгебра
  • Автор: Katruna24
  • Вопрос задан 2 года назад

Упростите выражение
а)4х(в 4 степени)--(-2х во 2 степени)всё это в 3 степени.
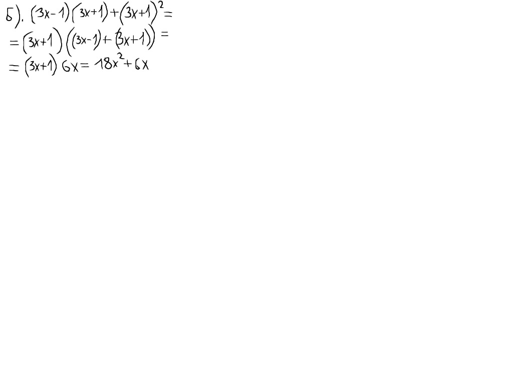
б)(3х-1)(3х+1)+(3х+1) во 2 степени.

Помогите пожалуйста!

Ответы

Ответ дал: Archangel0
1
б вот так......................
Приложения:

Katruna24: Спасибо
Archangel0: не за что
Вас заинтересует