Ответы
Ответ дал:
1
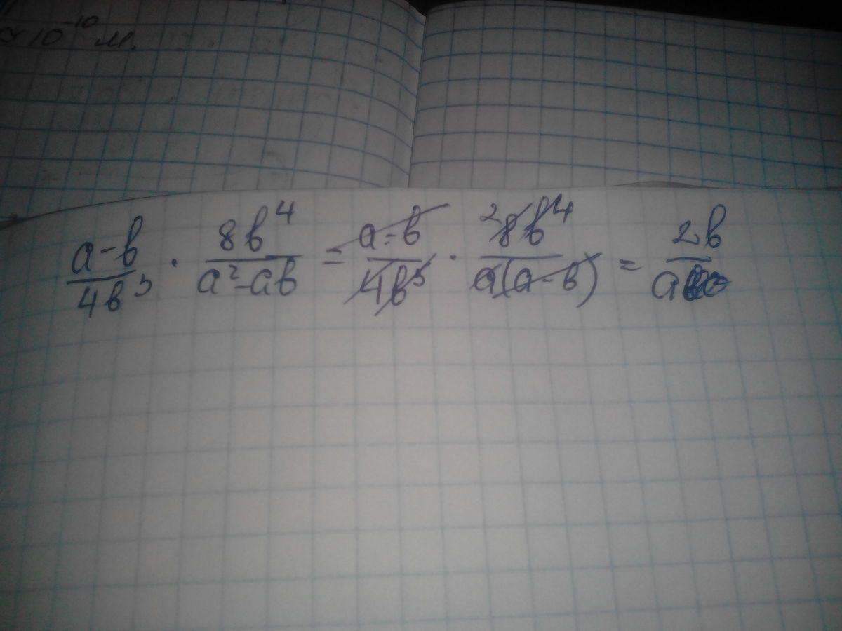
a-b * 8b⁴ = 8b⁴ = 2b
4b³ * a(a-b) 4ab³ a
4b³ * a(a-b) 4ab³ a
Анюта1331:
спасибо
Ответ дал:
1
решение на фото……………..
Приложения:

Вас заинтересует
2 года назад
2 года назад
2 года назад
7 лет назад
8 лет назад