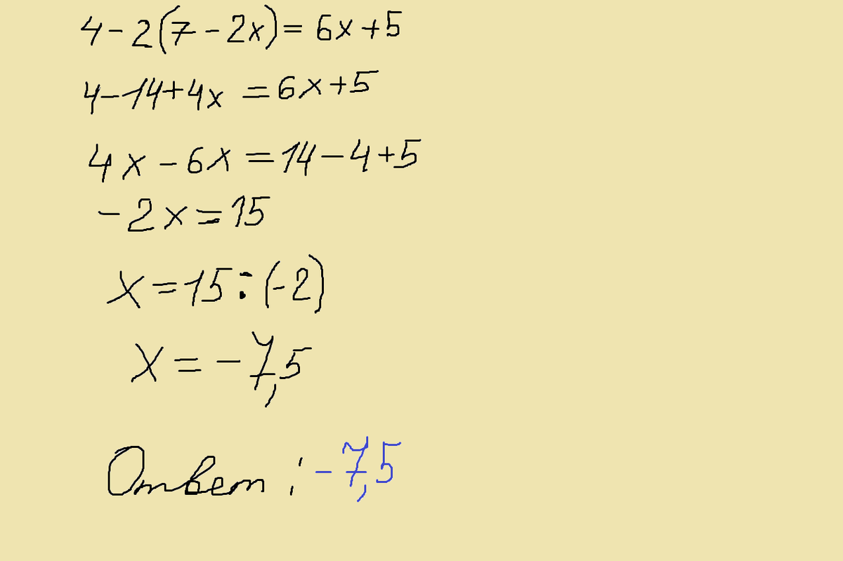
1.Решите уравнение:4-2(7-2x)=6x+5
2.Найдите наибольшее и наименьшее значение линейной функции на задоном промежутке: y=x+3,{-2;1}
Ответы
Ответ дал:
1
решение номера 1,уравнение
Приложения:

kremneva2000:
пожалуйста,прости номер 2 не знаю
Вас заинтересует
2 года назад
2 года назад
2 года назад
7 лет назад
9 лет назад
9 лет назад