Помогите расписать решение, а ту я не знаю как:
1) sin 3x cos 2x - cos 3x sin 2x = -0,5
2) √2 sin (Пи/4 - x) + sin x = - 1/2
Ответы должны быть такими:
Приложения:

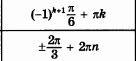
Ответы
Ответ дал:
0
в 1 формула синус разности = син(3х-2х)=-0.5 синх =-0.5
Вас заинтересует
2 года назад
2 года назад
8 лет назад
10 лет назад
10 лет назад
10 лет назад