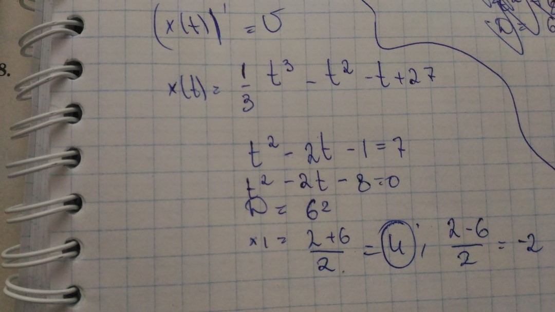
Материальная точка движется прямолинейно по закону x(t)=1/3t^3-t^2-t+27, где x- расстояние от точки отсчета в метрах, t- время в секундах, измеренное с начало движения. В какой момент времени ( в секундах) её скорость была равна 7м/с ?
Заранее спасибо!
Ответы
Ответ дал:
9
Вроде так...
(x(t))'=V
(x(t))'=V
Приложения:

Вас заинтересует
2 года назад
2 года назад
2 года назад
7 лет назад
9 лет назад