• Предмет: Алгебра
  • Автор: Bictoriaj1111
  • Вопрос задан 3 года назад

Помогите с алгеброй, полное решение!)
пожаалуйста!!!)

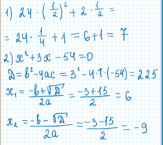
Приложения:

Ответы

Ответ дал: zanjabill
0
Помогите с алгеброй, полное решение!)
Приложения:
Вас заинтересует