• Предмет: Алгебра
  • Автор: Crew1
  • Вопрос задан 3 года назад

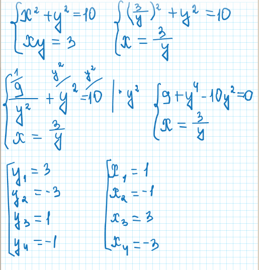
  \left \{ {{ x^{2} +y^{2}=10 } \atop {xy=3}} \right.

Ответы

Ответ дал: zanjabill
1
Решение системы уравнений
Приложения:
Вас заинтересует