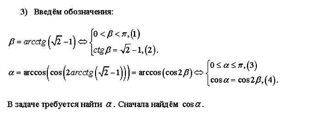
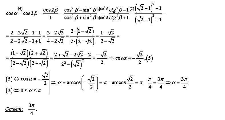
Вычислите arccos(cos(2arcctg (√2-1))
nikitka06:
ооооооооооо, щас подумаю
Ответы
Ответ дал:
7
Вычислите arccos(cos(2arcctg (√2-1))
Приложения:


Вас заинтересует
2 года назад
2 года назад
2 года назад
7 лет назад
7 лет назад