• Предмет: Алгебра
  • Автор: ОдаПушкину
  • Вопрос задан 3 года назад

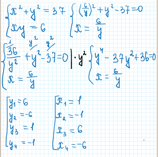
Пожалуйста, помогите решить систему!

Приложения:

Ответы

Ответ дал: zanjabill
1
Решить систему уравнений
Приложения:
Вас заинтересует