• Предмет: Алгебра
  • Автор: iluserpolina
  • Вопрос задан 3 года назад


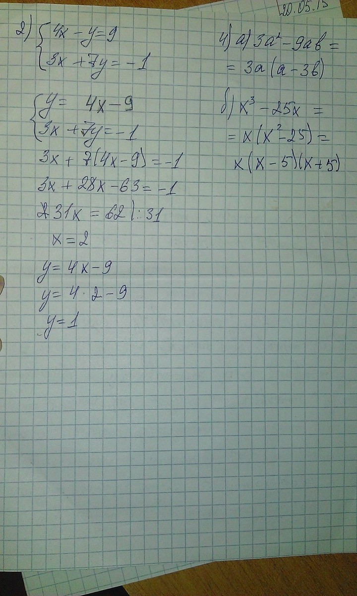
1). Упростите выражения 2x(2x+3y) -(x+y). 2). Решите систему уравнений: 4х-у=9 3х+7у=-1 3). Постройте график функции: у=2х+2 Определите , проходи ли график функции через точку А(-10:-18). 4). Разложите на множители . а) 3а^2 -9ав б) х^3 - 25х

Ответы

Ответ дал: Rimmo4kA2000
0
Знаешь 3) можно решить с помощью поисковой системы  просто введи уравнение.
Приложения:

Rimmo4kA2000: у меня не получилось написать название поисковой системы
Вас заинтересует