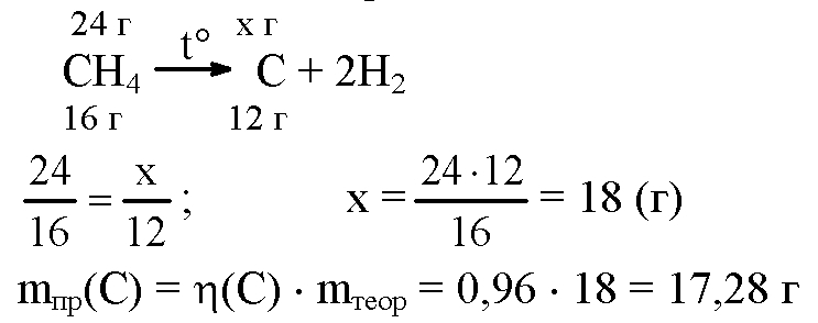
Какая масса сажи образуется при разложении метана массой 24 г ? Массовая доля выхода продукта составляет 96%.
Пожалуйста помогите!!!
Ответы
Ответ дал:
5
________________________________________________________
Приложения:
Вас заинтересует
2 года назад
2 года назад
2 года назад
7 лет назад
9 лет назад
9 лет назад