Ответы
Ответ дал:
1
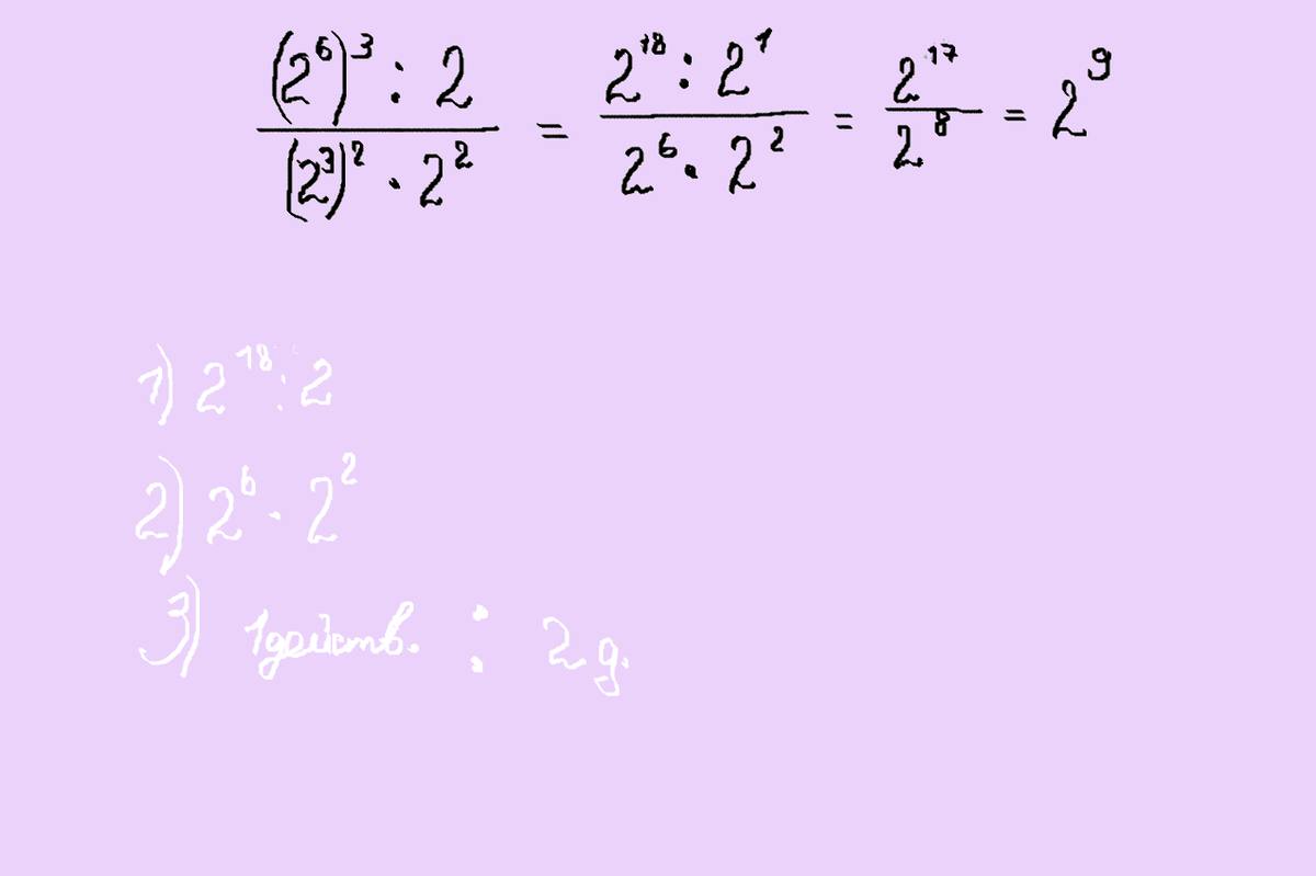
вот решение номера четыре
Приложения:

kremneva2000:
в третем дей-и нужно просто первый ответ разделить на второй
Вас заинтересует
2 года назад
2 года назад
2 года назад
7 лет назад