Ответы
Ответ дал:
5
Вот держи!!!!Я все расписал
Приложения:

Nikita1100:
На 3 строчке в конце какая цифра?
Ответ дал:
3
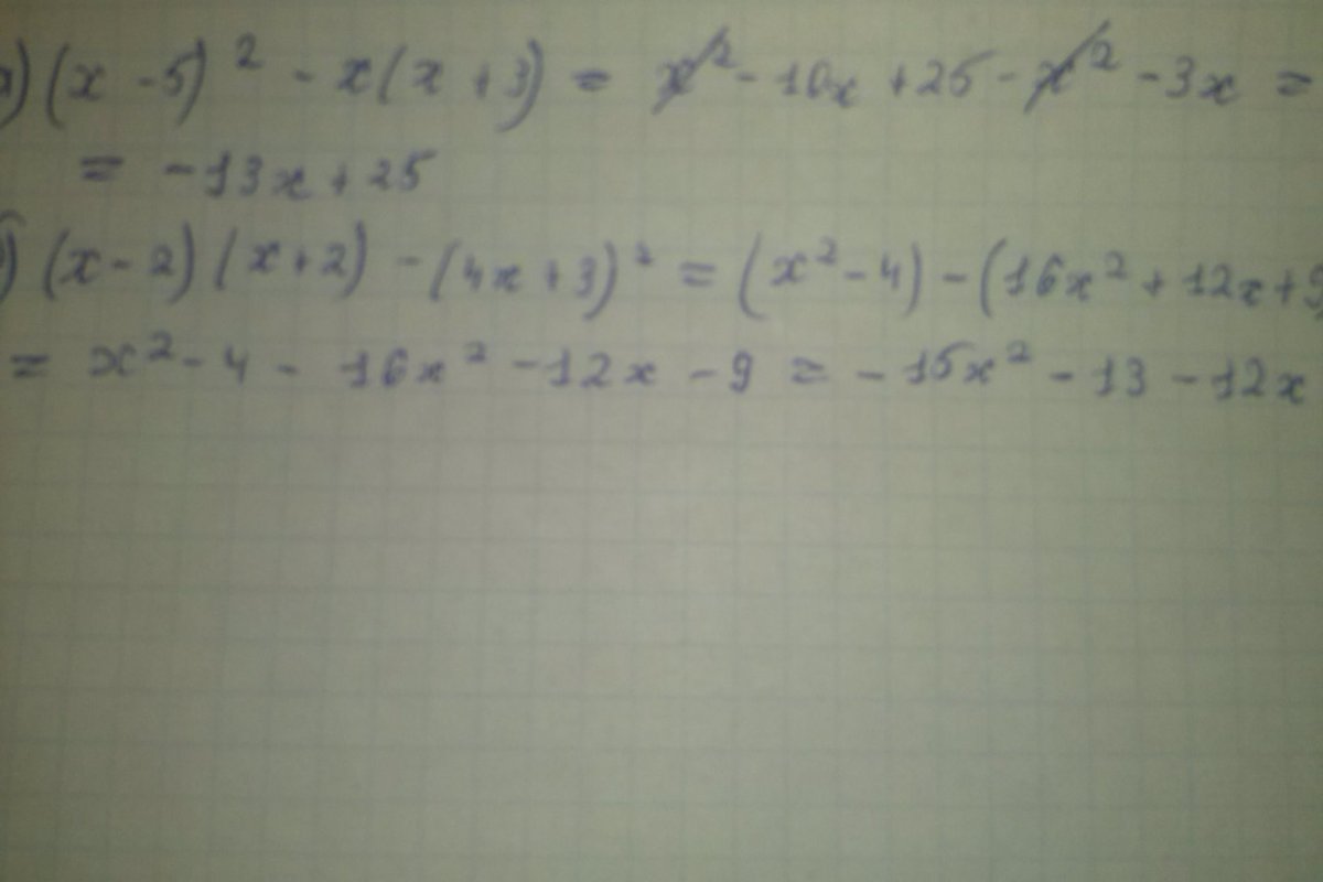
(x-5)²-x(x+3)=
-10x+25-
-3x=-13x+25-
(x-2)(x+2)-(4x+3)²=
-2x-2x-4-(16
+24x+9)=
-2x-2x-4-16
-24x-9=-28
-13-24x
(x-2)(x+2)-(4x+3)²=
Вас заинтересует
2 года назад
2 года назад
2 года назад
2 года назад
7 лет назад