в равнобедренном треугольнике основание равно 10 см а высота проведённая к основанию равна 12 см вычислите боковую сторону треугольника
Ответы
Ответ дал:
1
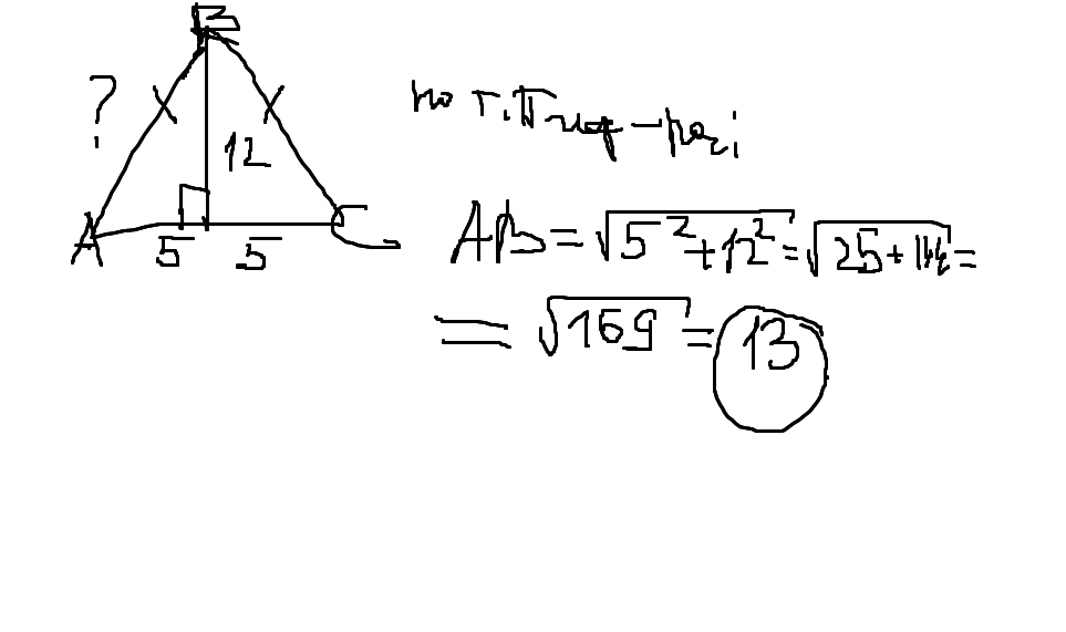
в равнобедренном треугольнике высота является медианой и биссектрисой ,значит она делит основание на 5см и 5 см
и по теореме Пифагора находим боковую сторону,она будет равна 13.
и по теореме Пифагора находим боковую сторону,она будет равна 13.
Приложения:

serqei195:
а решение
Ответ дал:
2
Высота делит сторону в равнобедренном треугольнике пополам.
10:2=5 (см) -сторона (катет) треугольника
В прямоугольном треугольнике квадрат гипотенузы равен сумме квадратов катетов.
10*10+5*5=169+13 (cм) - сторона (гипотенуза) треугольника
10:2=5 (см) -сторона (катет) треугольника
В прямоугольном треугольнике квадрат гипотенузы равен сумме квадратов катетов.
10*10+5*5=169+13 (cм) - сторона (гипотенуза) треугольника
Вас заинтересует
2 года назад
2 года назад
2 года назад
2 года назад
7 лет назад
7 лет назад
9 лет назад
9 лет назад