• Предмет: Математика
  • Автор: Аноним
  • Вопрос задан 2 года назад

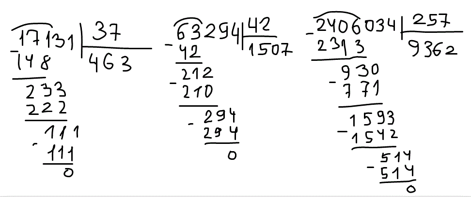
помогите плииз, столбиком! 17131:37, 63294:42, 2406034:257! Если правильно дам 40 баллов

Ответы

Ответ дал: Shevtsovasa
11
Смотри прикрепленный рисунок
Приложения:
Вас заинтересует