• Предмет: Математика
  • Автор: Юлёшечка
  • Вопрос задан 3 года назад

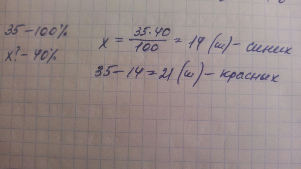
В связке 35 шариков. Причём 40% из них синих, а остальные красные. Сколько красных шариков?

Ответы

Ответ дал: MrLyanda
1
всего 100% шариков
если синих 40% то красных 100-40=60%
35*60%=35*60/100=35*6/10=35*3/5=21 красный шар

Ответ дал: varlena
1
Смотри ответ на фото
Приложения:
Вас заинтересует