• Предмет: Алгебра
  • Автор: АнькаЭфрон
  • Вопрос задан 11 лет назад

помогите, пожалуйста. очень срочно. пожалуйста.

 

Приложения:

Ответы

Ответ дал: Аноним
0
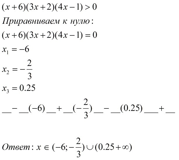
Решение на фото.....................................
Приложения:
Вас заинтересует