Ответы
Ответ дал:
0
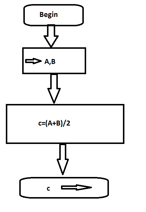
VOT IZOBRAJENIYA: YA NARISOVAL V MS PAINT
Приложения:
Ответ дал:
0
program al;
var a,b:integer;
begin
writeln('a=');
readln(a);
writeln('b=');
readln(b);
writeln('srednee dvuh cisel=',(a+b)/2);
readln;
end.
var a,b:integer;
begin
writeln('a=');
readln(a);
writeln('b=');
readln(b);
writeln('srednee dvuh cisel=',(a+b)/2);
readln;
end.
Вас заинтересует
2 года назад
2 года назад
2 года назад
2 года назад