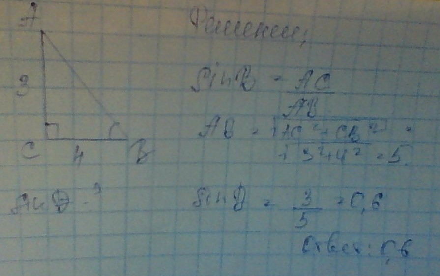
В прямоугольном треугольнике АВС (угол С=90градусов), АС = 3см, ВС = 4см.Вычислить sin B. ПОМОГИТЕ,пожалуйста.
Ответы
Ответ дал:
2
Если вы будете знать,что есть В МАТЕМАТИКЕ ЕГИПЕТСКИЙ ТРЕУГОЛЬНИК,то вычисление синуса вам вообще проблем в данной задаче не составит.
Гипотенуза 5 всегда.
Гипотенуза 5 всегда.
Приложения:
Вас заинтересует
2 года назад
2 года назад
2 года назад
7 лет назад
7 лет назад
9 лет назад