• Предмет: Алгебра
  • Автор: buklovgeor
  • Вопрос задан 2 года назад

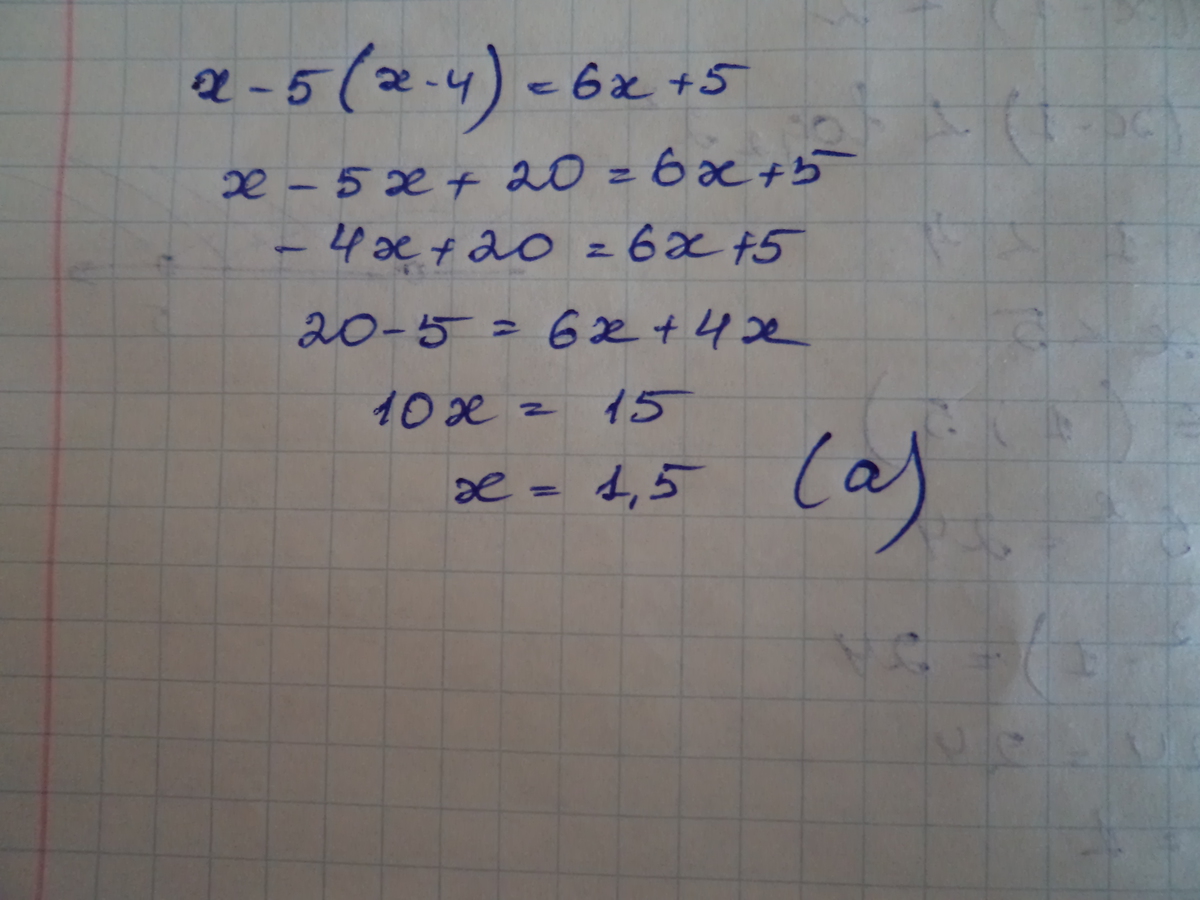
Решите уравнение: х-5(х-4)=6х+5
а) 1,5; б)-1,5; в)12,5; г)-12,5.

Ответы

Ответ дал: Mydrый
1
решение во вложенииииииииииииииииииииииии
Приложения:
Ответ дал: МалияХейл
1
x-5(x-4)=6x+5
x-5x+20=6x+5
-4x-6x=5-20
-10x=-15
x=1,5
Ответ А

buklovgeor: спс))*
Вас заинтересует