Ответы
Ответ дал:
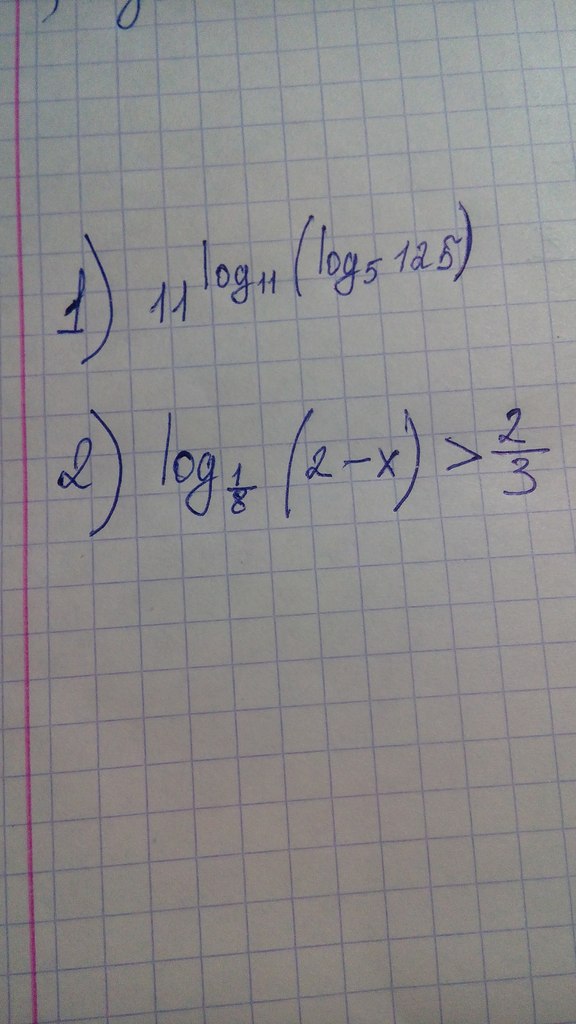
1
воспользуемся свойствами логарифмов:
= log 125 по осн5=3
log1/8 (2-x)>2/3
найдем ОДЗ:
2-x>0
x<2
log1/8 (2-x)>log1/8 (1/8)^2/3
2-x<1/4
x>1 3/4
решаем в пересечении с ОДЗ
получаем ответ (1 3/4;2)
= log 125 по осн5=3
log1/8 (2-x)>2/3
найдем ОДЗ:
2-x>0
x<2
log1/8 (2-x)>log1/8 (1/8)^2/3
2-x<1/4
x>1 3/4
решаем в пересечении с ОДЗ
получаем ответ (1 3/4;2)
Вас заинтересует
2 года назад
2 года назад
2 года назад
2 года назад
7 лет назад
9 лет назад