• Предмет: Алгебра
  • Автор: diana09090
  • Вопрос задан 3 года назад

Помогите с производной

Приложения:

Ответы

Ответ дал: CVita
0
y'= \frac{3}{x^4 \sqrt{x^2-3} }
Ответ дал: Аноним
0
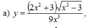
y=\frac{(2x^2+3)\sqrt{x^2-3}}{9x^3}

lny=ln(\frac{(2x^2+3)\sqrt{x^2-3}}{9x^3})

lny=ln(2x^2+3)+ln(\sqrt{x^2-3})-ln(9x^3)

lny=ln(2x^2+3)+\frac{1}2ln(x^2-3)-3ln(\sqrt[3]{9}x)

(lny)'=(ln(2x^2+3))'+(\frac{1}2ln(x^2-3))'-(3ln(\sqrt[3]{9}x))'

\frac{1}y*y'=\frac{1}{2x^2+3}*(2x^2+3)'+\frac{1}{2(x^2-3)}*(x^2-3)'-\frac{3}{\sqrt[3]{9}x}*(\sqrt[3]{9}x)'

\frac{1}y*y'=\frac{4x}{2x^2+3}+\frac{2x}{2(x^2-3)}-\frac{3\sqrt[3]{9}}{\sqrt[3]{9}x}

\frac{1}y*y'=\frac{4x}{2x^2+3}+\frac{2x}{2(x^2-3)}-\frac{3}{x}

y'=\frac{(2x^2+3)\sqrt{x^2-3}}{9x^3}(\frac{4x}{2x^2+3}+\frac{2x}{2(x^2-3)}-\frac{3}{x})
Вас заинтересует