• Предмет: Алгебра
  • Автор: daniil33444
  • Вопрос задан 3 года назад

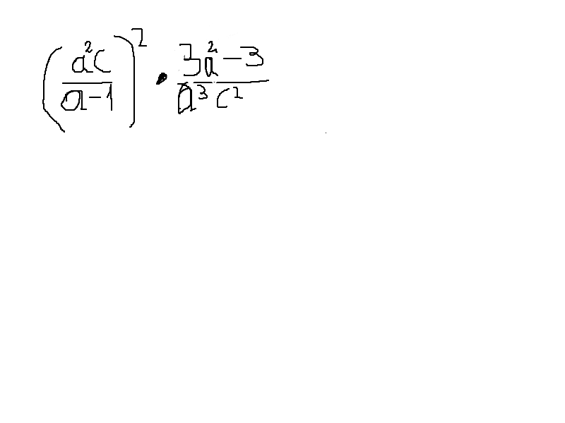
Выполнить действия. Зарания спасибо

Приложения:

Ответы

Ответ дал: Ekaterina1819
0
Получится вот так :)
Приложения:
Вас заинтересует