• Предмет: Алгебра
  • Автор: tirelessly
  • Вопрос задан 3 года назад

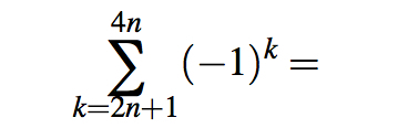
вычислить сумму(файл прикреплен)

Приложения:

Ответы

Ответ дал: IUV
0
решение смотри во вложении
ответ 0
Приложения:
Вас заинтересует