Помогите пожалуйста с алгеброй.
Конец года,вся запыхалась.
Спасибо)
Образец,как должно выглядеть прикрепила.
Приложения:
Ответы
Ответ дал:
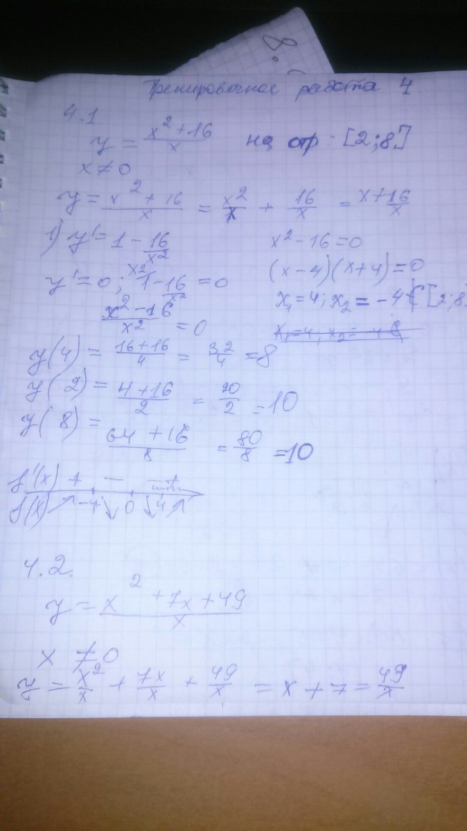
1
1)y=(x³+x²+9)/x-x²=x²+x+9/x-x²=x+9/x
y`=1-9/x²=(x²-9)/x²=0
x=3∉[-9;-1]
x=-3∈[-9;-1]
y(-9)=-9-1=-10 наим
у(-3)=-3-3=-6 наиб
у(-1)=-1-9=-10 наим
2)у=х²+(25+х²-х³)/х=х²+25/х+х+х²=25/х +х
y`=-25/x²+1=(x²-25)/x=0
x=-5∉[1;10]
x=5∈[1;10]
y(1)=25+1=26наиб
у(5)=5+5=10 наим
у(10)=2,5+10=12,5
3)у=(16-х³)/х=16/х-х²
y`=-16/x² -2x=(-16-2x³)/x²=0
2x³=-16
x³=-8
x=-2∈[-4;-1]
y(-4)=-4-16=-20 наим
y(-2)=-8-4=-12 наиб
y(-1)=-16-1=-17
y`=1-9/x²=(x²-9)/x²=0
x=3∉[-9;-1]
x=-3∈[-9;-1]
y(-9)=-9-1=-10 наим
у(-3)=-3-3=-6 наиб
у(-1)=-1-9=-10 наим
2)у=х²+(25+х²-х³)/х=х²+25/х+х+х²=25/х +х
y`=-25/x²+1=(x²-25)/x=0
x=-5∉[1;10]
x=5∈[1;10]
y(1)=25+1=26наиб
у(5)=5+5=10 наим
у(10)=2,5+10=12,5
3)у=(16-х³)/х=16/х-х²
y`=-16/x² -2x=(-16-2x³)/x²=0
2x³=-16
x³=-8
x=-2∈[-4;-1]
y(-4)=-4-16=-20 наим
y(-2)=-8-4=-12 наиб
y(-1)=-16-1=-17
anacondaVIP:
спасибо большое,я и не сомневалась))
в третьем номере:x1=-2∈[-4;-1],значит x2=2∉[-4;-1]?
Вас заинтересует
2 года назад
2 года назад
7 лет назад
7 лет назад
9 лет назад