• Предмет: Алгебра
  • Автор: rcv09
  • Вопрос задан 2 года назад

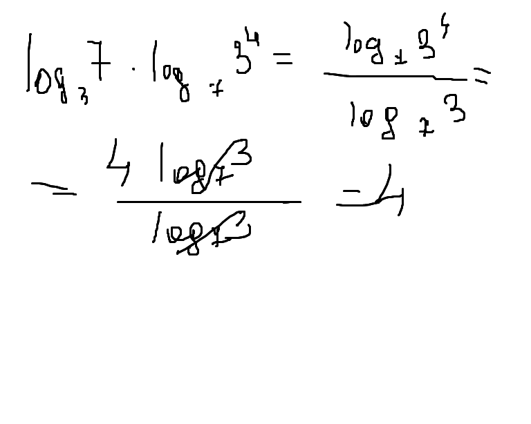
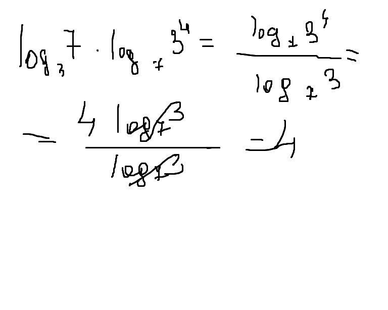
Найдите значение выражения log3 7 * log7 81

Ответы

Ответ дал: sweetpolina98
7
как то так) случайно 2 фото прекрепилось :D
Приложения:
Вас заинтересует