• Предмет: Математика
  • Автор: mistershelkunov
  • Вопрос задан 3 года назад

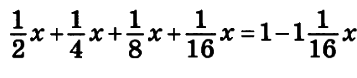
помогите решить уравнение с решением

Приложения:

Ответы

Ответ дал: jekadva
1
 \frac{8+4+2+1}{16} x=1-1 \frac{1}{16} x \\  \frac{15}{16}x=1- \frac{1}{16}x \\  \frac{15}{16}x+1 \frac{1}{16}x=1 \\ 2x=1 \\ x=1:2 \\ x=0,5

mistershelkunov: Супер Спасибо
Ответ дал: Polx
0
Мы числа при х переносим в левую часть при это меняем знак и делаем неправильную дробь. Потом все складываем и общий знаменатель будет равен 16. Число при х будет равен 32\16 
32\16x=1
2x=1
x=1\2
x=0.5
Вас заинтересует