• Предмет: Алгебра
  • Автор: dadnik164
  • Вопрос задан 2 года назад

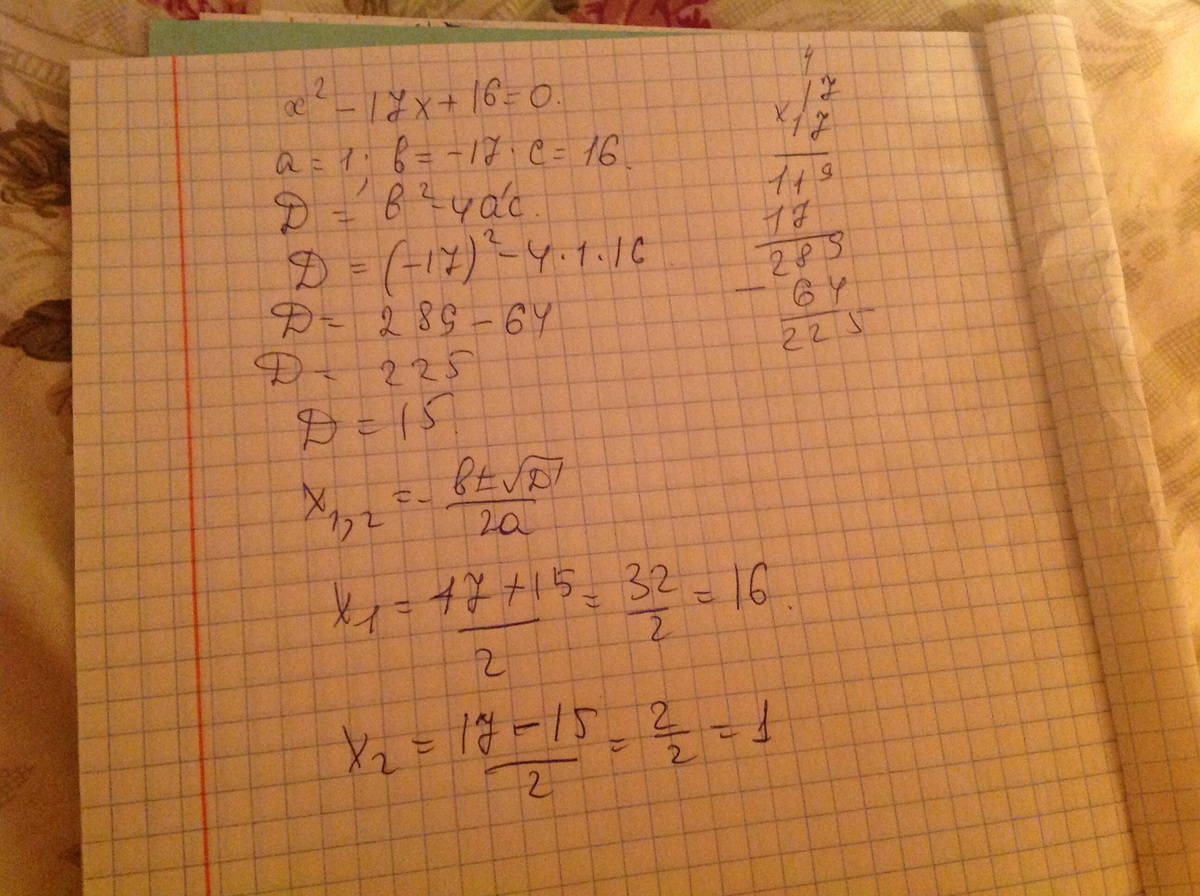
решите уравнение x^-17x+16=0

Ответы

Ответ дал: SonikX
0
Блин, самое легкое. Решается через дискриминант. Там просто нужно выучить формулу.
Приложения:

dadnik164: спасибо просто уже устал завтро экзамены целый день геометри и алгебру учу и физику с химией в придачу
SonikX: Аналогично :)
Ответ дал: prosto1313
0
D= 289 - 4*16= 225
x1= (17+15)/2=16
x2= (17-15)/2= 1
Вас заинтересует